隨著硬碟單位儲存價格下降,以及家庭劇院和智慧型手機所帶動的影音相關需求,NAS逐漸的從企業機房走入一般家庭的客廳及書桌,外觀容量也不再是企業專用的那麼冰冷龐大,而是以時尚帶著優雅的外形出現,與家中的影音設備或傢俱融合在一起。除了外觀與儲存空間要求外,更重要的是,家用NAS仍保有最重要的安全性與穩定性,且在操作上更加方便與人性化,讓家中老少都能方便使用。
在入手NAS之前,也作了一番比較工作。我的PC中有一些相當重要的檔案,目前除了定期手動複製到另一顆硬碟外,也上傳到雲端空間作備份,另外,老婆兒子女兒每天也在從手機製造出影片相片等資料,得替他們找個隨時能儲放的地點而且方便播放展示,另外,愛看電影的兒子硬碟內有一堆影片,硬碟即將爆滿沒地方放…於是,添購一台NAS似乎是最佳的選擇。
找了三家知名大廠及相近等級的產品比較了一下,這三種NAS皆支援HDMI輸出和硬體4K影片播放轉檔,皆以家庭中的超高清多媒體播放中心的代言人自居。此外,這幾台NAS都是採用Linux作業系統,內建的專用OS都支援第三方APP軟體,因此皆有自行擴充升級各種功能的空間。
但若單純從硬體規格和售價來比較,明顯的Asustor的AS3202T無論在價格或規格配備皆是最佛心的選擇,現今的NAS基本上就是一台多功能PC了,不但是多媒體中心,更可能擔任網站及檔案伺服器等角色,因此CPU核心與RAM當然要愈多愈好,此外Asustor是由華碩所投資,本業就是專注於NAS的設計及相關軟體、軔體、硬體研發整合,這樣一個讓人放心的品牌,忍不住就讓我想帶一台回家試用了。
這次的開箱我將分為三大項目來說明,內容有點多哦,請耐心看完:
A)組裝及初始設定
B)硬碟的選擇推薦
C)AS3202T的ADM環境介紹
A) 超簡單的組裝____________________________________________________
無法想像AS3202T的組裝有多容易,哈,我國小三年級的女兒不到五分鐘就完成了。
AS3202T的外盒體積比起想像中的要小,看來當作禮盒送人也相當適合啊。
箱子內只有三件物品,分別是機殼、一顆硬碟還有內裝說明書與線材零件與遙控器的紙盒。
AS3202T內部有兩個硬碟空間,直接把硬碟插入其中任何一個皆可。
對!就像這樣插入,還有,所搭配的硬碟可是IT資訊者眼中的極品哦:Seagate IronWolf NAS 2000GB,這顆俗稱為那嘶狼的最新款硬碟,專為NAS與RAID環境所設計,每秒傳輸6Gb、快取高達128MB、MTBF 120萬小時,最重要的是號稱搭載了「旋轉震動感應」技術、「震動雙平均」技術,以及「低耗電管理」等能力,聽起來多麼讓人放心把資料交給它啊。
直接用手毫不費力的就可以將螺絲旋上並轉緊了,不需要動用十字起子哦。
外形是典雅沈穩的黑色,前方面板的格狀花紋有著時尚皮夾般的光采,下方有一個USB 3.0插槽。
把它轉過來,後方有HDMI、RJ45 網路port、兩個USB 3.0 ports,電源開關也在背面,就是右上方那個黑色圓鈕,放在背後的好處可避免誤觸,也讓前方面板更加簡潔。
初始設定
這是AS3202T的處女秀,當然要先調教一下才能見公婆上得了台面哦,不過這步驟也不會太複雜,也是超簡單的,跟著我作一次吧。先將AS3202T用USB接到您的PC。
這個程序安裝的就是ASUSTOR Control Center,安裝完成之後,啟動它看看。
這是Control Center程式畫面,您會注意到右方有個尚未初始化的紅色字眼,提醒您需要進行初始化作業。
過程中會打開下面畫面,我們直接選擇用一鍵設定來快速的完成設定。
最後這個畫面是詢問是否註冊這台AS3202T,建議在此直接登入或註冊新帳號,因為在後續如果您想安裝新APP時,必須要使用ASUSTOR ID登入後才能下載安裝。。
然後,您就可以把AS3202T接到客廳電視,開機試看看吧。把電源線、網路線和HDMI線接上。
接著,按下後方的黑色按鈕,開機後便可看到一些內建應用程式,包含了硬體、磁碟、功能及服務設定,還有YouTube。
經過這基本的安裝桯序,這台AS3202就已經俱備了基本的NAS和影音播放功能了。
此時,您在PC的網路上也馬上就看到AS3202T以及預設分享的資料夾。
點選Youtube APP也能在電視上觀看Youtube的影片。
B) 建議搭配使用的硬碟____________________________________________________
有了NAS,接下來最讓人煩惱的就是硬碟的選擇了。由於 AS3202T內部可安裝兩顆硬碟,且支援將多顆硬碟組合使用的磁碟陣列(Disk Array)功能,因此最推鑒的自然是專為網路儲存裝置(Network Attached Storage,簡稱NAS)所設計的NAS硬碟了,而一般來說, NAS比起一般硬碟的好處在於:
1. 耐用程度差異:NAS專用硬碟是專為24×7(7天24小時)使用時間所設計,一般硬碟則是5×8(5天8小時),所以在運作的耐用程度就有差別。
2. 具抗震功能:由於傳統硬碟是屬於機械性運作,本身難免在運作時就會產生微小旳震動,當多顆硬碟擺放在一起時,更有可能放大此震動效應而使得硬碟壽命減少。而NAS硬碟多具備抗震功能,能避免震動對硬碟的損害。
3. 資料可靠性:NAS硬碟是為了處理大量的資料而設計,且對於資料儲存的正確與安全性相當要求,因此相較於一般傳統硬碟來說,除了更適用於RAID的環境之外,亦針對不正常關機、異常溫度、移動或震動,會自動進行降速處理,以確保資料的正確性。
現在手頭上剛好有三顆硬碟,分別是:
a) 兩顆NAS硬碟 :Seagate NAS HDD 2TB(ST2000VN000)以及掛上新品牌俗稱那嘶狼的Seagate IronWolf 2TB(ST2000VN004),這兩顆都是針對家用及中小企業市場推出的NAS硬碟。
b) 一顆傳統的大容量內接硬碟:TOSHIBA AV 3TB 3.5吋 SATA III ( DT01ABA300V )
下面我們要用這套業界最常使用、您自己也能在家裹下載用來檢測硬碟效能的免費軟體Crystal DiskMark來測試,您會發現使用NAS硬碟比起傳統桌上硬碟的優點好上太多了,而且雖然價格相同,但新版的那嘶狼IronWolf比起舊版的Seagate NAS HDD的讀寫效能還要好上一些哦。
首先,到Crystal Dew World:http://crystalmark.info/download/index-e.html 下載,目前最新版本是5.2.0版。您只要選擇第一項的Standard下載就可以了。
解壓縮後,會有兩個執行檔分別適用於32位元及64位元的Windows作業系統,請選擇適合您目前OS的來執行。
您可以看到,我們可以透過Crystal DiskMark來檢測硬碟在各種環境下的表現讀取寫入效率。其中,所謂的Q32T1指的是Queue為32,Thread為1,意指使用32個Queue及一個Thread來進行測試。
我們使用一台Intel i5 CPU,8GB RAM的PC,使用Crystal DiskMark針對下列這三顆硬碟進行個簡單的測試。您也可以依照我的方法及上述說明,在購買新硬碟後自己也來試看看哦。
從上面表格內容來看,我們會產生這些疑問:新版的Seagate IronWolf規格與價格看來與舊版的完全相同,在效能方面會一樣嗎?另外,3TB非NAS的硬碟看起來便宜又大碗,只多了$300就多了一TB容量,這樣值不值得呢?
那我們就使用剛剛下載的Crystal DiskMark來測試看看,建議您也可以自行來量測看看哦… 花了半天時間,各硬碟的表現數據終於出爐了,讓我們看一下測試結果:下方各品牌硬碟由左至右分別是50MiB, 1GiB, 8GiB, 32GiB等大小檔案的讀寫測試結果:
這些數字都是愈大愈好,代表硬碟讀寫的效率愈高。測試中我們指定了50MiB小型, 1GiB中型, 8GiB大型以及32GiB超大型等四種檔案大小來測試,這可讓我們看出該硬碟在不同類型檔案下儲存效能。例如,如果您將S3202T NAS當作多媒體主機來使用,那麼檔案大部份都會屬於較大的影音檔案,那麼您應該著重在8G及32G的測試結果。如果您打算將AS3202T用在一般文件類檔案備份儲存,那麼您可以著重在中小型檔案的測試結果上。
此外,如果您打算將AS3202T NAS使用於較多人共用的中小企業而非單純的家用環境,那麼您更應該注意該硬碟在Q32T1的表現。
綜合比較 :由左至右,橘色為Seagate IronWolf 2TB,藍色為Seagate NAS HDD,綠色為Toshiba AV 3TB。四個項目分別為50MiB小型, 1GiB中型, 8GiB大型以及32GiB超大型等四種檔案大小[/color]
1. 單工單線程1M大小檔案循序寫入
新舊版本的Seagate NAS互有輸贏,但是新版IronWolf在中大型檔案的讀寫上比起舊版更快速。傳統大容量硬碟則與NAS硬碟的差距相當明顯。
由左至右,橘色為Seagate IronWolf 2TB,藍色為Seagate NAS HDD,綠色為Toshiba AV 3TB。四個項目分別為50MiB小型, 1GiB中型, 8GiB大型以及32GiB超大型等四種檔案大小
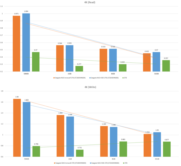
2. 單工單線程4K大小檔案隨機寫入
在這項目的表現上,新舊版本的Seagate NAS也是互有輸贏,但舊版本表垷似乎稍微好一點點,但差距並不是相當明顯。而傳統大容量硬碟的表現仍然不是很理想。
由左至右,橘色為Seagate IronWolf 2TB,藍色為Seagate NAS HDD,綠色為Toshiba AV 3TB。四個項目分別為50MiB小型, 1GiB中型, 8GiB大型以及32GiB超大型等四種檔案大小
3. 多工多線程Q32T1的4K小檔案隨機寫入
新舊兩版的Seagate NAS硬碟表現差異不大,但新版IronWolf在讀出的表現上稍好一點,舊版本則是在寫入部份稍好,但差距並不大。傳統大容量硬碟的表現與Seagate NAS比較起來仍有相當明顯差距。
由左至右,橘色為Seagate IronWolf 2TB,藍色為Seagate NAS HDD,綠色為Toshiba AV 3TB。四個項目分別為50MiB小型, 1GiB中型, 8GiB大型以及32GiB超大型等四種檔案大小
4. 多工多線程Q32T1的128K大小檔案循序寫入
新版的Seagate IronWolf技壓群雄取得最高分數,比起舊版的NAS的表現更好。而傳統大容量的非NAS硬碟在此項的弱勢相當明顯,差距相當大。
由左至右,橘色為Seagate IronWolf 2TB,藍色為Seagate NAS HDD,綠色為Toshiba AV 3TB。四個項目分別為50MiB小型, 1GiB中型, 8GiB大型以及32GiB超大型等四種檔案大小
依據上述的分析,可以看出新版的Seagate IronWolf表現相當不錯,尤其在價格相同的條件下,讀寫效率比起舊版有明顯的進步。至於大容量的傳統非NAS硬碟,可以看出其讀寫效能比起NAS來說有著相當大的差距,雖然傳統硬碟有著容量大價格較低的優點,但是應用於AS3202T這類NAS儲存機器來說,還是推薦Seagate IronWolf硬碟為首選,才能發揮其高存取速度 、多工多線程、高安全性且RAID優化支援等等優點。
C) ASUSTOR ADM介紹____________________________________________________
我們在Control Center上,選取了AS3202T並在那列上點擊兩次,便會用瀏覽器打開ASUSTOR Data Master (簡稱 ADM)登入畫面。
這是由 ASUSTOR所自行研發專用於NAS的作業系統,web介面可透過瀏覽器來執行,因此我們可以在任何支援瀏覽器的平台上,透過它來進行各項NAS功能的設定,或安裝各種app,替AS3202T增加不同的功能。
下面我們來看看ASUSTOR ADM裏頭一些常用的App功能,方便您快速上手上使用。
首先我們先點選存取控制app,這個功能可讓我們透過使用者帳號及群組方式,來設定存取本NAS的使用權限,可設定的安全選項相當多,而且還支援網域AD帳號的認證哦,看來AS3202T也是相當適合一般中小企業使用的。
這些使用者權限包含了:帳號的停用、逾期設定、兩步式驗證…等等,一般我們家庭用比較少去設定此功能,但這些功能可是企業老闆和MIS人員的最愛啊。
此外還可針對不同的資料夾進行權限控制。,以下方為例,可看到guest帳號僅能在Public資料夾讀寫,其它資料夾都沒有權限。
甚至還有桯式權限設定功能,能設定那些帳號能執行那些程式,如果你有些app想禁止其他人使用,可以透過這個功能來設定。
我們可以從這個功能檢視AS3202T的五大資源狀態:CPU、記憶體、網路、儲存空間、程序等,當需要瞭解目前儲存空間的使用或需要排除機器的異常狀況時,這是很有用的功能。
這功能是AS3202T的靈魂了,你可依您的需求增添各種不同的角色功能,目前有接近二百種不同的App可供安裝。
這些為數眾多的App已依其功能分門別類在下方的類別選單中,因此我比較習慣從類別選單來選取需要的App。
在AS3202T上安裝這些App就跟手機App的安裝一樣簡單方便,即裝即用。
備份與還原功能可備份反還原AS3202T的系統設定檔,另外也提供各種方式將所儲存的資料檔案再進行備份或還原。備份的方式有很多,比如透過rsync同步或FTP傳輸方式將檔案傳送到其它電腦或另一台AS3202T,也可以選擇備份到外接的儲存媒體,最有趣的是可以自動備份到AWS的S3雲端儲存。
因此,如果您存放在AS3202T的資料非常重要的話,不用擔心,透過備份與還原App可隨時救回您的檔案。
由於AS3202T實際上是一台具有NAS功能的電腦,因此您可以安裝其它USB設備,例如數位電視棒、印表機、藍芽、UPS、光碟機或USB無線網卡等等,您可以在此功能中檢視所安裝的設備。如下圖,我有插入一支USB無線網卡。
這個功能就是我們在Windows常用的檔案總管,您可以在此透過熟悉的介面來管理AS3202T上的所有檔案。
在服務App中,我們可以開啟並設定各種預設功能服務。例如,讓我們可以在Windows下存取的CIFS功能,以及企業的MIS人員最需要的Active Directory認證功能。
其它的服務,如NFS、FTP、Web伺服器、Rsync…等等,您可以視需要自行開啟。
「偏好設定」主要是針對NAS主機本身的整體設定,初步使用AS3202T時,您比較需要注意的是網路選項中的伺服器名稱,這是您在網路上會看到這台主機的名字,您可以去修改成比較貼切的名字。另外,「輕鬆存取」則是設定Cloud ID的地方,如果您需要從外面連回家中使用,建議您可以使用它,可節省不少您手動設定的麻煩。
透過儲存管理員,我們可以膫解目前硬碟的使用情形、健康狀態、設定RAID、檢查硬碟…等等功能,此外,它還支援企業常用的iSCSI以及iSCSI LUN,讓AS3202T NAS能整合到企業的NAS環境,對於預算有限的中小企業來說,AS3202T真是性價比最高的NAS。
最後,我們來看一下系統資訊App。在這個App中,比較常用到的是「關於這台NAS」、「網路」、「Dr. ASUSTOR」。從這幾個選項中,我們分別可以得知相關軟體的版本、主機規格、目前內部溫度及風扇轉速、使用的網路IP、建議應進行的各項檢查等等,建議您應定期進入此頁面觀看。
在市面上所有的多功能NAS當中,ASUSTOR AS3202T不但性價比最高,而且容易安裝上手,相當適合一般家庭使用,搭配Seagate IronWolf NAS硬碟,更是儲存容量與資料安全上的絕佳選擇。
此外,AS3202T NAS更支援一般企業常用的AD帳號認證、使用者Quota及權限設定、iSCSI Lun…等等,還能透過安裝各式App升級為支援各種功能的主機,如FTP、Web、VPN、Databas、NFS3、Rsync、SNMP…等等。
無論您是居家使用還是公司企業專用,ASUSTOR AS3202T NAS搭配其可擴充功能的ADM系統,就能應用在各種需求環境與不同場所,實在是一台值得擁有的NAS主機。






































































